Provides estimation and plotting tools for exposure-response models that use logistic regression for binary responses.
Example
library(erlr)
library(dplyr)
#>
#> Attaching package: 'dplyr'
#> The following objects are masked from 'package:stats':
#>
#> filter, lag
#> The following objects are masked from 'package:base':
#>
#> intersect, setdiff, setequal, union
library(tibble)
lr_data
#> # A tibble: 300 × 6
#> id dose exposure exposure_quartile response sex
#> <int> <dbl> <dbl> <fct> <dbl> <fct>
#> 1 1 100 148. Q3 1 Male
#> 2 2 100 79.7 Q1 1 Male
#> 3 3 200 212. Q3 1 Male
#> 4 4 200 236. Q3 0 Female
#> 5 5 0 0 Placebo 1 Female
#> 6 6 200 71.0 Q1 1 Male
#> 7 7 100 173. Q3 1 Male
#> 8 8 100 123. Q2 0 Female
#> 9 9 0 0 Placebo 0 Male
#> 10 10 200 165. Q3 1 Male
#> # ℹ 290 more rows
mod <- lr_model(response ~ exposure, lr_data)
mod
#>
#> Call: stats::glm(formula = formula, family = stats::binomial(link = "logit"),
#> data = data)
#>
#> Coefficients:
#> (Intercept) exposure
#> 0.15078 0.01112
#>
#> Degrees of Freedom: 299 Total (i.e. Null); 298 Residual
#> Null Deviance: 341.7
#> Residual Deviance: 283.9 AIC: 287.9
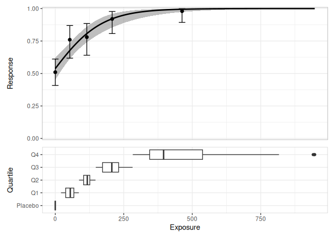
lr_data |>
filter(exposure > 0) |>
lr_plot(exposure, response) |>
lr_plot_add_quantiles(bins = 4) |>
lr_plot_add_strips(color = sex) |>
print()
#> Warning: annotation$theme is not a valid theme.
#> Please use `theme()` to construct themes.